Monitoring Grading RRMM
PT. Ramajaya Pramukti
Tahun 2025
Summary
Januari
Februari
Maret
April
Mei
Juni
Juli
Agustus
September
Oktober
November
Desember
Rendemen CPO Produksi Periode Januari-2025
Kualitas TBS INTI dan Plasma KKPA Periode Januari-2025
Kualitas TBS Plasma Un-Managed Periode Januari-2025
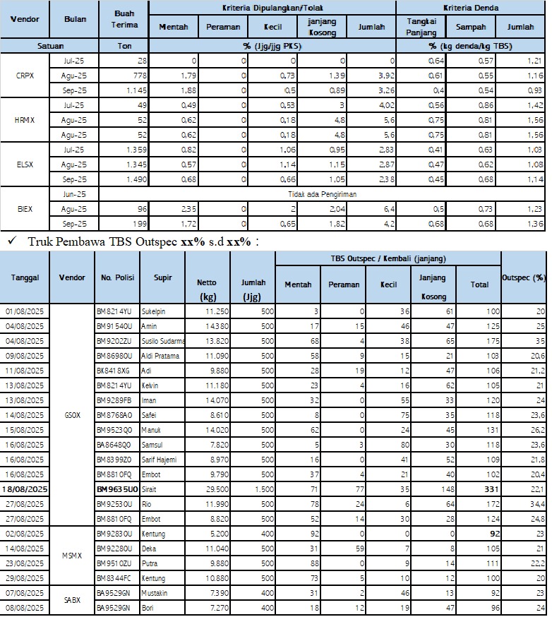
Kualitas TBS Luar Periode Januari-2025
Koneksi internet Anda sedang bermasalah, mohon coba gunakan jaringan lain.
Tutup