Monitoring KJGM
PT. Buana Wiralestari Mas
Rendemen CPO Produksi Periode 1 s.d 30 September 2025
Kualitas TBS INTI dan KKPA Periode September 2025
Kualitas TBS Plasma KJNP Per KUD Periode 1 s.d 30 September 2025
Pengujian Oil Content dan Varietas TBS Pekarangan Periode September 2025
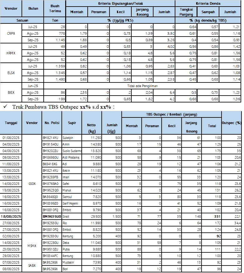
Kualitas TBS Pekarangan Periode September 2025
Koneksi internet Anda sedang bermasalah, mohon coba gunakan jaringan lain.
Tutup